Azərbaycanda ən ucuz un Şabrandadır – QİYMƏT CƏDVƏLİ

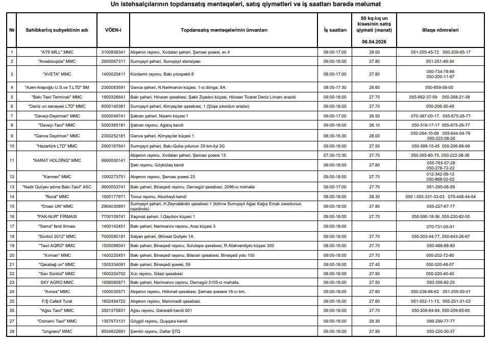
6 aprel tarixinə Azərbaycanda un istehsalçılarının topdansatış məntəqələrində 50 kq-lıq un kisəsinin satış qiyməti 26,1-28,6 manat arasında dəyişib.

Bizim.Media xəbər verir ki, bu barədə Prezident yanında Antiinhisar və İstehlak Bazarlarına Nəzarət Dövlət Agentliyindən bildirilib.

Məlumata görə, unun ən aşağı topdansatış qiyməti 26,1 manat olmaqla Şabran rayonunda, ən yüksək topdansatış qiyməti 28,6 manat olmaqla Gəncə şəhərində qeydə alınıb.


Bizim.Media

© Materiallardan istifadə edərkən hiperlinklə istinad olunmalıdır

SON XƏBƏRLƏR

Zəngilan sakinlərinə şad xəbər

Zəngilan sakinlərinə şad xəbər

Rusiya məktəblərində QANLI İNSİDENT– Şagird müəllimi bıçaqla öldürdü - VİDEO

Rusiya məktəblərində QANLI İNSİDENT– Şagird müəllimi bıçaqla öldürdü - VİDEO

Rusiya bu “respublika”nı terror təşkilatı ELAN ETDİ

Rusiya bu “respublika”nı terror təşkilatı ELAN ETDİ

“Xamenei huşsuz vəziyyətdədir”

“Xamenei huşsuz vəziyyətdədir”

Sumqayıtda dəm qazından zəhərlənən 5 uşağın vəziyyəti AĞIRDIR

Sumqayıtda dəm qazından zəhərlənən 5 uşağın vəziyyəti AĞIRDIR

Ukraynadan Rusiyanın ən böyük limanına növbəti hücum – VİDEO

Ukraynadan Rusiyanın ən böyük limanına növbəti hücum – VİDEO

“Napoli” “Qarabağ”ın futbolçusundan İMTİNA ETDİ

“Napoli” “Qarabağ”ın futbolçusundan İMTİNA ETDİ

Gürcüstanda azərbaycanlı merin qardaşı TUTULDU

Gürcüstanda azərbaycanlı merin qardaşı TUTULDU

Biləsuvarda evindən meyiti tapılan 41 yaşlı qadının ölümü ilə bağlı TƏFƏRRÜAT – ÖZƏL

Biləsuvarda evindən meyiti tapılan 41 yaşlı qadının ölümü ilə bağlı TƏFƏRRÜAT – ÖZƏL

Bu ərazilərdə su kəsiləcək

Bu ərazilərdə su kəsiləcək

Milli Məclisin növbəti iclasının VAXTI və GÜNDƏLİYİ

Milli Məclisin növbəti iclasının VAXTI GÜNDƏLİYİ

Qaradağda əməliyyat: 5 nəfər tutuldu - VİDEO

Qaradağda əməliyyat: 5 nəfər tutuldu - VİDEO

Bakıda film kimi QƏZA – Nəzarətsiz qalan azyaşlılar bir qadının ölümünə SƏBƏB OLDU

Bakıda film kimi QƏZA – Nəzarətsiz qalan azyaşlılar bir qadının ölümünə SƏBƏB OLDU

Dövlət qurumlarının informasiya sistemlərinə edilən kiberhücumların sayı açıqlandı – FOTO

Dövlət qurumlarının informasiya sistemlərinə edilən kiberhücumların sayı açıqlandı – FOTO

Xocavəndə növbəti köç YOLA SALINDI

Xocavəndə növbəti köç YOLA SALINDI

Bu əməliyyatlar da sığorta hesabına ediləcək – RƏSMİ

Bu əməliyyatlar da sığorta hesabına ediləcək – RƏSMİ

Azərbaycanda kafelər 9-da bağlanacaq? — AÇIQLAMA

Azərbaycanda kafelər 9-da bağlanacaq? — AÇIQLAMA

Rusiya ordusu Ukraynada avtobusa zərbə endirdi: 3 ölü, 12 yaralı var - FOTO

Rusiya ordusu Ukraynada avtobusa zərbə endirdi: 3 ölü, 12 yaralı var - FOTO

BU FÜRSƏT xaricdə işləmək istəyənlər üçündür

BU FÜRSƏT xaricdə işləmək istəyənlər üçündür

Gəncədə iki nəfər bıçaqlandı

Gəncədə iki nəfər bıçaqlandı

Samir Babayev yeni vəzifəyə TƏYİN EDİLDİ

Samir Babayev yeni vəzifəyə TƏYİN EDİLDİ

Bugünkü zəlzələnin dünənki yağışla əlaqəsi var? – Qurban Yetirmişlidən AÇIQLAMA

Bugünkü zəlzələnin dünənki yağışla əlaqəsi var? – Qurban Yetirmişlidən AÇIQLAMA

“Molla Nəsrəddin”in nəşrindən 120 il ötür

“Molla Nəsrəddin”in nəşrindən 120 il ötür

İran dünyanın ən böyük zavodlarından birini vurdu – VİDEO

İran dünyanın ən böyük zavodlarından birini vurdu – VİDEO

End of content

No more pages to load

RADİO